Partielle integration formel. Partielle Integration by Andi Peters on Prezi 2019-12-01

Partielle Integration

partielle integration formel

This article includes a , related reading or , but its sources remain unclear because it lacks. Anzeigen: Partielle Integration Beispiel Zeit für ein paar Beispiele um die partielle Integration zu zeigen. The above theorem was first proposed by when he developed the notion of in 1769. Es folgt zunächst die allgemeine Formel, im Anschluss gibt es einige Beispiele. Par exemple, obtenons la formule drive successive d'ordre 3 de la fonction f.

Next

Partielle Integration / Produktintegration

partielle integration formel

In this case the repetition may also be terminated with this index i. Da x auf die Potenz von 3 erhöht ist, ist die Ableitung der x-Komponente 3x 2. Da wir also die Ableitung nach x berechnen, finden wir die Ableitung der x-Komponente der Funktion. Da die Ableitung des 1. Voyons le rsultat que donnera Maple. Hvad er integration ved substitution? Die Funktion kann jedoch mehr als zwei Variablen enthalten.

Next

Partielle Integration mit e^x, Beispiel

partielle integration formel

} Integration by parts is often used as a tool to prove theorems in. Partielle Ableitung Rechner Dies ist ein Partielle Ableitung Rechner. Man kan differentiere alle differentiable funktioner. Pour le calcul d'une intgrale dfinie, il suffit de remplacer la variable d'intgration par un intervalle de la variable d'intgration. Nehmen wir also die partielle Ableitung einer Funktion an, nehmen wir sie in Bezug auf eine bestimmte Variable.

Next

Regneregler for integraler (Matematik A, Integralregning)

partielle integration formel

Wir sind der Meinung, dass Bildung Spaß machen muss. Vi illustrerer den ved hjælp af nogle eksempler. Nun wollen wir die gleiche Funktion ausführen, aber jetzt finden wir die partielle Ableitung von ihr in Bezug auf y. } Summing these two inequalities and then dividing by 1 + 2 π ξ k gives the stated inequality. Normalerweise wird Partial Differentiation für Funktionen ausgeführt, die 2 Variablen enthalten, aber einige Funktionen können mehr haben. Ligesom med differentialregningen findes der også regneregler for, hvordan man integrerer summer og differenser af funktioner samt hvordan, man integrerer produktet af en funktion og en konstant. Alle disse regler kan eftervises vha.

Next

Partielle Integration (Herleitung & Beispiel)● Gehe auf icatalogodecoracao.leroymerlin.pt für Topnoten

partielle integration formel

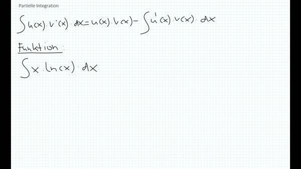
Dieser Rechner kann die partielle Ableitung von regulären Funktionen sowie trigonometrische Funktionen annehmen. Differensreglen Differensreglen minder meget om sumreglen. Ich hoffe ihr erinnert euch an die. Die Funktion ist eine multivariate Funktion, die normalerweise zwei Variablen enthält, x und y. Vorüberlegung: Die Ableitung welchen Faktors vereinfacht das Integral? Sie kann als Analogon zur Produktregel der Differentialrechnung aufgefasst werden.

Next

Integration by parts

partielle integration formel

An antiderivative for the substituted function can hopefully be determined; the original substitution between u and x is then undone. } Mathematician discovered integration by parts, first publishing the idea in. Thus, the formula can be used from left to right or from right to left in order to simplify a given integral. The rule can be thought of as an integral version of the of. This equation may be put on a rigorous foundation by interpreting it as a statement about. Tauscht in diesem Fall u und v' einmal gegeneinander aus und versucht es erneut. A similar method is used to find the.

Next

Partielle Integration (Herleitung & Beispiel)● Gehe auf icatalogodecoracao.leroymerlin.pt für Topnoten

partielle integration formel

Using the often requires finding an. This works if the derivative of the function is known, and the integral of this derivative times x is also known. Nahezu täglich veröffentliche ich neue Inhalte. Da x auf die Potenz von 3 erhöht ist, ist die Ableitung der x-Komponente 3x 2. Dazu gleich eine kleine Warnung: Ihr müsst am Anfang u und v' festlegen. Soit alors la fonction f dfinie par.

Next

Partielle Integration

partielle integration formel

Some other special techniques are demonstrated in the examples below. Dazu gleich eine kleine Warnung: Ihr müsst am Anfang u und v' festlegen. When used in the latter manner, it is sometimes known as u-substitution or w-substitution. } The integrand simplifies to 1, so the antiderivative is x. Depuis Maple 6 , cette macro-commande de la bibliothque de base est auto-chargeable mais, avec Maple V , nous devons la rendre disponible en excutant au pralable un readlib sur cette macro-commande.

Next

Partielle Integration

partielle integration formel

Der findes også regler for, hvordan man integrerer produktet af to funktioner samt sammensatte funktioner. Durch die partielle Ableitung einer Funktion können wir sehen, wie sich die Änderungsrate dieser einen Variablen auf die gesamte Funktion auswirkt. It is the counterpart to the for. Die Funktion kann jedoch mehr als zwei Variablen enthalten. Und das Beste: TheSimpleClub ist und bleibt komplett kostenlos! Trouver la drive partielle d'ordre 5. Deswegen bieten wir dir auf 4 Kanälen die beste und unterhaltsamste Nachhilfe die du im Netz finden kannst: Und das in Mathematik, Biologie, Chemie und Physik. This article includes a , related reading or , but its sources remain unclear because it lacks.

Next